pregunta 1

La fórmula dimensional de la velocidad es:

A LT
B LT -1
C LT -2
D L-1 T -1


pregunta 2

Completa

En una superficie lisa, si duplicamos la masa y mantenemos constante la fuerza con la que empujamos un cuerpo, entonces su aceleración


pregunta 3

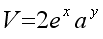
Hallar x + y para que la siguiente formula sea dimensionalmente correcta sabiendo que "V" es volumen, "e" es longitud y "a" es aceleración

A 3
B 2
C 1
D 0


pregunta 4

El siguiente sistema está en equilibrio. Halla el peso del bloque A si el bloque B tiene un peso de 120 N.

A 90 N
B 120 N
C 160 N
D 200 N


pregunta 5

Completa

Un objeto es puesto en movimiento por acción de una fuerza constante, en una superficie horizontal y lisa. Si disminuimos la masa del cuerpo y deseamos mantener la misma aceleración entonces la fuerza que que se aplica deberá


pregunta 6

La unidad de la Cantidad de Sustancia en el SIU es:

A Ampere
B Candela
C Mol
D Metro


pregunta 7

Uno de los instrumentos que se usan para medir el tiempo es:

A Dinamómetro
B Cronómetro
C Termómetro
D Barómetro


pregunta 8

El bloque parte del reposo y alcanza una velocidad de 40 m/s después de recorrer 100 m. Calcula el valor de la fuerza F si el peso del bloque es 50 N y el coeficiente de rozamiento es µ = 0,3.

A 40 N
B 45 N
C 50 N
D 55 N


pregunta 9

Sobre un cuerpo de 10 kg de masa se aplican diversas fuerza como se indica en la figura. Si la superficie es lisa, analiza y responde:

1. El cuerpo se mueve

2. El valor de la aceleración es


3. La fuerza normal es

4. El módulo de la resultante en el eje x es


5. El módulo de la fuerza normal es


pregunta 10

Si la siguiente ecuación es dimensionalmente correcta y F = fuerza, t = tiempo entonces la fórmula dimensional de A es:

A MLT - 4
B MLT -1
C ML2
D ML


pregunta 11

En la figura se muestra un cilindro de 12 kg de masa, el cual se apoya en dos paredes lisas. Determina las reacciones de las paredes sobre el cilindro.

A RA = 150 N y RB = 90 N
B RA = 90 N y RB = 150 N
C RA = 200 N y RB = 160 N
D RA = 150 N y RB = 120 N


pregunta 12

El diagrama de cuerpo libre de la esfera es:

A
B
C
D


pregunta 13

Es una magnitud vectorial:

A Densidad
B Gravedad
C Periodo
D Altura


pregunta 14

Escribe Verdadero (V) o Falso (F):

A El peso es una magnitud física escalar.
Cierto Falso
B El equilibrio es una rama de la física.
Cierto Falso
C La trayectoria es una magnitud fundamental.
Cierto Falso
D El gramo es una unidad del SIU
Cierto Falso


pregunta 15

La fórmula dimensional del trabajo es:

A ML2 T -2
B ML2 T -3
C MLT -1
D MLT


pregunta 16

Uno de los instrumentos que se usan para medir la presión es:

A Dinamómetro
B Cronómetro
C Termómetro
D Barómetro


pregunta 17

Si la siguiente ecuación es dimensionalmente correcta y m = masa, d = distancia, F = fuerza entonces la fórmula dimensional de A es:

A L2 T -4
B LT -2
C L1/2 T
D L1/2 T-1


pregunta 18

Dado el siguiente sistemas de vectores halla:

1. El módulo del vector resultante es:

2. La dirección de la resultante es:


pregunta 19

No es una fuerza interna:

A Tensión
B Fricción
C Compresión
D Fuerza elástica


pregunta 20

La fórmula dimensional del Torque o Momento de una fuerza es:

A MLT
B MLT -1
C ML2 T -2
D ½ ML2 T -2


pregunta 21

Si un cuerpo se encuentra en reposo se dice que está en equilibrio:

A estático
B dinámico
C traslacional
D rotacional


pregunta 22

Completa

Una persona jala un costal con una cuerda horizontal, si lo hace con una fuerza de 60 N hacia la derecha, entonces esta persona sentirá que la cuerda lo jala hacia la con una fuerza de


pregunta 23

Completa

Si un cuerpo se desplaza a velocidad constante y no existen fuerzas externas actuando sobre él, entonces la superficie


pregunta 24

En esta etapa se plantean las posibles respuestas al problema observado:

A Observación
B Formulación de Hipótesis
C Búsqueda de información
D Conclusión


pregunta 25

La fórmula dimensional del peso es:

A MLT
B MLT -1
C MLT -2
D ML-1 T -1


pregunta 26

Una barra homogénea de 30 N de peso es colocada sobre un punto de apoyo como se muestra en la figura. Sobre ésta se aplican 3 fuerzas iguales de 10 N cada una. Sabiendo que B es el centro de la barra, responde:

1. El cuerpo está en equilibrio

2. Si el centro de giro es el punto B, entonces el cuerpo gira en sentido


3. El módulo de fuerza resultante es


4. El momento de F1 con respecto al punto es B


5. El momento de F3 con respecto al punto C es


6. El momento de F2 con respecto al punto A es


7. El momento de F2 con respecto al punto B es


pregunta 27

En el siguiente gráfico halla las tensiones de las cuerdas que sostienen al bloque de 100 N de peso y responde:

1. El módulo de la tensión T1 es

2. El módulo de la tensión T2 es


3. El módulo de la tensión T3 es


pregunta 28

Una caja de 20 kg que se mueve a 20 m/s ingresa a un camino horizontal, recto y rugoso. Por acción de la fuerza de rozamiento se detiene luego de 5 segundos. Halla el coeficiente de rozamiento.

A 0,4
B 0,02
C 0,002
D 0,04


pregunta 29

El diagrama de cuerpo libre de la esfera es:

A
B
C
D


pregunta 30

Completa:

1. Cuando estás patinando, una vez que te das impulso, puedes continuar moviéndote sin mayor esfuerzo. Esto se explica con la Ley de Newton.

2. Un cohete ejerce una fuerza hacia abajo para salir disparado hacia arriba. Esto se explica con la
Ley de Newton.

3. Si un carro que está en movimiento se queda sin gasolina, no deja de moverse inmediatamente, sino que avanza unos metros antes de detenerse por completo. Esto se explica con la
Ley de Newton.

4. Cuando dos futbolistas van a patear la misma pelota al mismo tiempo, con la misma fuerza y en sentido contrario, los dos retrocederán hacia atrás por la fuerza del otro. Esto se explica con la
Ley de Newton.

5. Cuando estás viajando en un auto y éste frena, tu cuerpo tiende a irse hacia adelante. Esto se explica con la
Ley de Newton.

6. Cuando estamos en invierno, tiendes a comer más y por lo tanto a engordar. Cuando aumentas tu peso, tienes que esforzarte más para correr a la misma velocidad que antes. Esto se explica con la
Ley de Newton.

7. La fuerza neta ejercida sobre un objeto hace que varíe su velocidad. Esto se explica con la
Ley de Newton.

8. Las personas duermen tranquilas, pues se siente seguras en sus camas. Esto se explica con la
Ley de Newton.


pregunta 31

Dos bloques de hielo A y B, que pesan 250 N y 150 N, respectivamente, se ponen lado a lado sobre una superficie horizontal lisa. Se aplica una fuerza horizontal constante F = 120 N a uno de los bloques en la dirección del otro bloque. Halla la fuerza con que el bloque A empuja al bloque B.

A 45 N
B 75 N
C 100 N
D 120 N


pregunta 32

La fuerza de compresión se presenta en cuerpos tales como:

A Jebes
B Barras
C Cables
D Resortes


pregunta 33

Escribe Verdadero (V) o Falso (F):

A El trabajo en equipo es una fase del Método Científico.
Cierto Falso
B Una magnitud escalar no necesita tener dirección.
Cierto Falso
C La primera ley de Newton dice que a toda acción se la opone una reacción.
Cierto Falso
D La fuerza es una magnitud derivada.
Cierto Falso


pregunta 34

Si la siguiente ecuación es dimensionalmente correcta y W = Trabajo, d = distancia entonces la fórmula dimensional de A es:

A MLT-2
B ML2 T-2
C ML-2 T 2
D ML- 4 T - 2


pregunta 35

Completa

La fuerza de rozamiento con relación a la fuerza normal, generalmente es


pregunta 36

La Tercera Ley de Newton es conocida como:

A Ley de la inercia
B Ley de senos
C Ley de acción y reacción
D Ley de coseno


pregunta 37

Escribe Verdadero (V) o Falso (F):

A La fuerza causa la deformación de los cuerpos.
Cierto Falso
B La Ley de Hooke dice que la fuerza necesaria para deformar un resorte es inversamente proporcional a su deformación.
Cierto Falso
C Las reacciones siempre son perpendiculares a las superficies en contacto.
Cierto Falso
D La Segunda Ley de Newton afirma que la aceleración es inversamente proporcional a la masa del cuerpo.
Cierto Falso


pregunta 38

La figura muestra un sistema de dos poleas móviles de 10 N de peso cada una. Hallar el peso del bloque A tal que el bloque B de 110 N de peso permanezca en equilibrio.

A 20 N
B 25 N
C 30 N
D 35 N


pregunta 39

La fórmula dimensional de la gravedad es:

A LT
B LT -1
C LT -2
D L-1 T -1


pregunta 40

El diagrama de cuerpo libre de la esfera es:

A
B
C
D


pregunta 41

Un bloque se encuentra sobre un plano inclinado liso y se mantiene en equilibrio por acción de una cuerda sujeta a la pared, tal como se muestra en la figura. Calcula la tensión en la cuerda si se sabe que el módulo de la fuerza normal es 60 N.

A 100 N
B 80 N
C 60 N
D 10 N


pregunta 42

Escribe Verdadero (V) o Falso (F):

A Una magnitud vectorial necesita tener dirección.
Cierto Falso
B La Tercera Ley de Newton dice que a toda acción se le opone una reacción.
Cierto Falso
C La fuerza es la causa que origina que los cuerpos alteren su estado de movimiento.
Cierto Falso
D El momento de una fuerza que pasa por el centro de giro es cero.
Cierto Falso


pregunta 43

El diagrama de cuerpo libre de la barra es:

A
B
C
D


pregunta 44

La fórmula dimensional de la energía cinética es:

A MLT
B MLT -1
C ML2 T -2
D ½ ML2 T -2


pregunta 45

Escribe Verdadero (V) o Falso (F):

A El metro es una de las unidades del SIU
Cierto Falso
B El área es una magnitud fundamental.
Cierto Falso
C La observación es una característica principal del Trabajo Científico.
Cierto Falso
D La velocidad es una magnitud derivada.
Cierto Falso


pregunta 46

El instrumento que se basa en la ley de Hooke es el:

A cronómetro
B dinamómetro
C termómetro
D barómetro


pregunta 47

Son aquellas fuerzas que se generan sobre las moléculas de un cuerpo:

A Fuerzas de reacción
B Fuerzas externas
C Fuerzas internas
D Fuerzas de fricción


pregunta 48

La fórmula dimensional de la potencia es:

A MLT
B MLT -1
C ML2 T -2
D ML2 T -3


pregunta 49

Dado el siguiente sistemas de vectores halla:

1. A + B + C =

2. A + B - C =


pregunta 50

Escribe verdadero (V) o falso (F):

A En una superficie rugosa, la fuerza de rozamiento siempre está presente.
Cierto Falso
B Si aplicamos una fuerza a un objeto, éste necesariamente acelerará.
Cierto Falso
C El coeficiente de rozamiento no depende de la masa del objeto que se mueve.
Cierto Falso
D La fuerza de rozamiento es directamente proporcional a la fuerza normal.
Cierto Falso


pregunta 51

Completa:

1. La intensidad de coriente es una magnitud

2. La observación es una fase del


3. El Trabajo en equipo es una característica del


4. El peso es una magnitud


5. La fuerza es una magnitud


6. La masa es una magnitd


7. El volumen es una magnitud


8. Formulación de leyes pertenece al


9. La gravedad es una magnitud


10. La planificación es una característica del